Oblicz przyspieszenia ciał na podstawie wykresów.
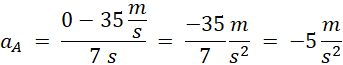
Odczytaj z wykresu prędkości ciała na początku i końcu ruchu i na tej podstawie oblicz przyspieszenie, z jakim ciało się poruszało:
W przypadku ciała B przyspieszenie wynosi 0, ponieważ ciało poruszało się ze stałą prędkością.
Zadanie 1.
Zadanie 2.
Zadanie 3.
Zadanie 4.
Podpunkt a)
Podpunkt b)
Podpunkt c)
Zadanie 5.
Podpunkt d)
Zadanie 1
Zadanie Policzmy razem
Podpunkt e)
Podpunkt f)
Zadanie Przyspieszenie roweru
Zadanie Przyspieszenie samochodu