Powierzchnia:
Prędkość średnia:
Prędkość odniesiona do powierzchni:
W ciągu 1 sekundy kombajn przejedzie
Pole powierzchni, jakie wykosi kombajn w ciągu jednej sekundy:
Prędkość średnia odniesiona do powierzchni:
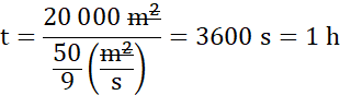
Czas przejechania przez 2 ha pola:
Kombajn wykosi pole w jedną godzinę.
Wykorzystaj wzór na czas:
gdzie
s – droga [m]
t – czas [s].
Zauważ, że hektar to 10 000 metrów kwadratowych. Możesz również odnieść prędkość kombajnu do pola powierzchni, jakie przejedzie w ciągu jednej sekundy.