Droga:
Prędkość:
Prędkość w ruchu jednostajnie przyspieszonym:
Przyspieszenie:
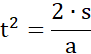
Droga w ruchu jednostajnie przyspieszonym:
Przyspieszenie:
Wstawiam do wzoru przyspieszenie:
Czas:
Przyspieszenie:
Pociąg rozpędził się w 80 sekund do przyspieszenia
By obliczyć prędkość, wykorzystaj wzór:
gdzie
t – czas [s],
a – przyspieszenie
Wzór na drogę w ruchu jednostajnie przyspieszonym ma postać:
gdzie s – droga [m],
t – czas [s],
a – przyspieszenie [