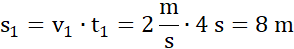
Wykres obrazuje ruch jednostajny. W pierwszych 4 sekundach ruchu prędkość ciała wynosi
Prędkość:
Czas:
Droga:
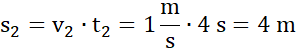
Druga część ruchu:
Prędkość:
Czas:
Droga:
Łączna droga:
Warto sobie najpierw przeliczyć drogę przebytą na każdym etapie ruchu. Zauważ, że nachylone w różny sposób linie na wykresie odpowiadają różnym wartościom prędkości. Im większa prędkość, tym szybciej droga rośnie.