Skul.pl
  • Opracowania zadań z podręczników
  • Fizyka. Klasa 7-8. Zbiór zadań - rozwiązania i odpowiedzi
  • Zadanie 6.75.

Fizyka. Klasa 7-8. Zbiór zadań - rozwiązania i odpowiedzi

Zbiór zadań, Wydawnictwo: WSiP
Poprzednie

Zadanie 6.75. - strona 94

Następne

Zadanie

Wypełnij tabelkę, w której zapisane są informacje o ruchu jednostajnie opóźnionym. Na jej podstawie sporządź wykres zależności prędkości od czasu.

Rozwiązanie

Czas t (s)0246810
Prędkość v ( )201612840

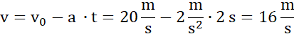
Opóźnienie ciała:

Zmiana prędkości:

Czas:

Przyspieszenie:

Prędkość ciała dla każdej sekundy:

Prędkość początkowa:

zoom

Skul

Wyjaśnienie

W ruchu jednostajnie opóźnionym prędkość ciała systematycznie maleje.

Poprzednie
Następne

Fizyka - wybrane pytania

Zadanie 16.1., strona 118, Zrozumieć fizykę 4. Zakres rozszerzony. Zbiór zadań - rozwiązania i odpowiedzi
Zadanie 4, strona 46, To jest fizyka. Klasa 7. Podręcznik - rozwiązania i odpowiedzi
Zadanie 14.21., strona 194, Fizyka. Klasa 7-8. Zbiór zadań - rozwiązania i odpowiedzi
Zadanie Podejmij temat 1, strona 181, Fizyka. Klasa 7. Podręcznik – rozwiązania i odpowiedzi
Zadanie 5, strona 137, Fizyka. Klasa 4. Poziom rozszerzony. Podręcznik - rozwiązania i odpowiedzi
Zadanie 14.31., strona 196, Fizyka. Klasa 7-8. Zbiór zadań - rozwiązania i odpowiedzi
Zadanie Więcej 1., strona 111, Fizyka z plusem. Klasa 8. Podręcznik - rozwiązania i odpowiedzi
Pytanie 11.1, strona 77, Fizyka. Klasa 4. Zakres rozszerzony. Zbiór zadań - rozwiązania i odpowiedzi
Zadanie 11.3.16., strona 34, Zrozumieć fizykę 3. Zakres rozszerzony. Zbiór zadań - rozwiązania i odpowiedz.
Zadanie 8.58., strona 117, Fizyka. Klasa 7-8. Zbiór zadań - rozwiązania i odpowiedzi
REKLAMA
Skul
Zadania z tego działu
Ruchy ciał (kinematyka)
80
Ruch i jego względność
80

Zadanie 6.1.

80

Zadanie 6.2.

80

Zadanie 6.3.

80

Zadanie 6.4.

80

Zadanie 6.5.

80

Zadanie 6.6.

80

Zadanie 6.7.

81

Zadanie 6.8.

81

Zadanie 6.9.

81

Zadanie 6.10.

82
Ruch jednostajny prostoliniowy
82

Zadanie 6.11.

82

Zadanie 6.12.

83

Zadanie 6.13.

83

Zadanie 6.14.

83

Zadanie 6.15.

83

Zadanie 6.16.

83

Zadanie 6.17.

83

Zadanie 6.18.

83

Zadanie 6.19.

83

Zadanie 6.20.

83

Zadanie 6.21.

83

Zadanie 6.22.

84

Zadanie 6.23.

84

Zadanie 6.24.

84

Zadanie 6.25.

84

Zadanie 6.26.

84

Zadanie 6.27.

84

Zadanie 6.28.

84

Zadanie 6.29.

84

Zadanie 6.30.

85

Zadanie 6.31.

85

Zadanie 6.32.

85

Zadanie 6.33.

85

Zadanie 6.34.

86

Zadanie 6.35.

86

Zadanie 6.36.

86

Zadanie 6.37.

86

Zadanie 6.38.

87

Zadanie 6.39.

87

Zadanie 6.40.

87

Zadanie 6.41.

87

Zadanie 6.42.

88

Zadanie 6.43.

88

Zadanie 6.44.

88

Zadanie 6.45.

88

Zadanie 6.46.

88
Ruch zmienny
89

Zadanie 6.47.

89

Zadanie 6.48.

89

Zadanie 6.49.

89

Zadanie 6.50.

89

Zadanie 6.51.

89

Zadanie 6.52.

89

Zadanie 6.53.

89

Zadanie 6.54.

90

Zadanie 6.55.

90

Zadanie 6.56.

90

Zadanie 6.57.

91

Zadanie 6.58.

91

Zadanie 6.59.

91

Zadanie 6.60.

92

Zadanie 6.61.

92

Zadanie 6.62.

92

Zadanie 6.63.

92

Zadanie 6.64.

92

Zadanie 6.65.

92

Zadanie 6.66.

92

Zadanie 6.67.

92

Zadanie 6.68.

93

Zadanie 6.69.

93

Zadanie 6.70.

93

Zadanie 6.71.

93

Zadanie 6.72.

94

Zadanie 6.73.

94

Zadanie 6.74.

94

Zadanie 6.75.

94

Zadanie 6.76.

95

Zadanie 6.77.

95

Zadanie 6.78.

95
Pełny spis treści
Skul
Artboard 1
Skul.pl
  • Napisz do nas
  • FAQ
  • Mapa Serwisu
  • Google Play
  • App Store

Korzystanie z portalu oznacza akceptację Regulaminu.
Polityka prywatności. Ustawienia preferencji. Copyright: INTERIA.PL 1999-2023 Wszystkie prawa zastrzeżone.