I:
Prędkość średnia:
Czas:
Droga:
II:
Zmiana prędkości:
Czas:
Przyspieszenie:
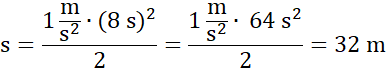
Droga w ruchu jednostajnie przyspieszonym:
Drogi te wynoszą po 32 metry.
By obliczyć przyspieszenie, wykorzystaj wzór:
gdzie
t – czas [s],
a – przyspieszenie
Wzór na drogę w ruchu jednostajnie przyspieszonym ma postać:
gdzie s – droga [m],
t – czas [s],
a – przyspieszenie [
Ciało I ma stałą prędkość, dlatego porusza się ruchem jednostajnym.