W tym zadaniu musisz obliczyć opór oporników po zmianie połączenia na równoległe.
Opór zastępczy przed połączeniu szeregowym jest równy sumie oporu oporników.
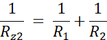
Odwrotność oporu zastępczego przy połączeniu równoległym jest równa sumie odwrotności oporów poszczególnych oporników.
Zadanie 12.1.
Zadanie 12.2.
Zadanie 12.3.
Zadanie 12.4.
Zadanie 12.5.
Zadanie 12.6.
Zadanie 12.7.
Zadanie 12.8.
Zadanie 12.9.
Zadanie 12.10.
Zadanie 12.11.
Zadanie 12.12.
Zadanie 12.13.
Zadanie 12.14.
Zadanie 12.15.
Zadanie 12.16.
Zadanie 12.17.
Zadanie 12.18.
Zadanie 12.19.
Zadanie 12.20.
Zadanie 12.21.
Zadanie 12.22.
Zadanie 12.23.
Zadanie 12.24.
Zadanie 12.25.
Zadanie 12.26.
Zadanie 12.27.
Zadanie 12.28.
Zadanie 12.29.
Zadanie 12.30.
Zadanie 12.31.
Zadanie 12.32.
Zadanie 12.33.
Zadanie 12.34.
Zadanie 12.35.
Zadanie 12.36.
Zadanie 12.37.
Zadanie 12.38.
Zadanie 12.39.
Zadanie 12.40.
Zadanie 12.41.
Zadanie 12.42.
Zadanie 12.43.
Zadanie 12.44.
Zadanie 12.45.
Zadanie 12.46.
Zadanie 12.47.
Zadanie 12.48.
Zadanie 12.49.
Zadanie 12.50.
Zadanie 12.51.
Zadanie 12.52.
Zadanie 12.53.
Zadanie 12.54.
Zadanie 12.55.
Zadanie 12.56.
Zadanie 12.57.
Zadanie 12.58.
Zadanie 12.59.
Zadanie 12.60.
Zadanie 12.61.
Zadanie 12.62.
Zadanie 12.63.
Zadanie 12.64.
Zadanie 12.65.
Zadanie 12.66.
Zadanie 12.67.
Zadanie 12.68.
Zadanie 12.69.
Zadanie 12.70.
Zadanie 12.71.
Zadanie 12.72.
Zadanie 12.73.
Zadanie 12.74.
Zadanie 12.75.
Zadanie 12.76.
Zadanie 12.77.
Zadanie 12.78.
Zadanie 12.79.