Zadanie

W tym zadaniu musisz obliczyć długość przewodnika o przekroju 15 mm2, aby jego opór był taki sam, jak innego przewodnika z tego samego metalu o przekroju 0,5 mm2 i długości 2 m.

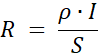
Rozwiązanie

Wyjaśnienie

Zadania z tego działu
12. Prąd elektryczny
154