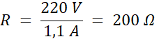
W tym zadaniu musisz obliczyć, wartość oporu układu trzech jednakowych żarówek oraz opór każdej z żarówek i moc prądu w każdej z nich.
Rozwiązanie
Wyjaśnienie
Żarówki są połączone równolegle, więc każda z nich pobiera połowę prądu. Napięcia na opornikach w połączeniu szeregowym są takie same jak napięcie całego obwodu.