W tym zadaniu musisz obliczyć, opór układu oporników przedstawionego na rysunku.
E) 3 Ω
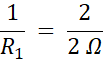
Mamy tutaj połączenie szeregowe jednego opornika z dwoma połączonymi równolegle.
Zadanie 12.1.
Zadanie 12.2.
Zadanie 12.3.
Zadanie 12.4.
Zadanie 12.5.
Zadanie 12.6.
Zadanie 12.7.
Zadanie 12.8.
Zadanie 12.9.
Zadanie 12.10.
Zadanie 12.11.
Zadanie 12.12.
Zadanie 12.13.
Zadanie 12.14.
Zadanie 12.15.
Zadanie 12.16.
Zadanie 12.17.
Zadanie 12.18.
Zadanie 12.19.
Zadanie 12.20.
Zadanie 12.21.
Zadanie 12.22.
Zadanie 12.23.
Zadanie 12.24.
Zadanie 12.25.
Zadanie 12.26.
Zadanie 12.27.
Zadanie 12.28.
Zadanie 12.29.
Zadanie 12.30.
Zadanie 12.31.
Zadanie 12.32.
Zadanie 12.33.
Zadanie 12.34.
Zadanie 12.35.
Zadanie 12.36.
Zadanie 12.37.
Zadanie 12.38.
Zadanie 12.39.
Zadanie 12.40.
Zadanie 12.41.
Zadanie 12.42.
Zadanie 12.43.
Zadanie 12.44.
Zadanie 12.45.
Zadanie 12.46.
Zadanie 12.47.
Zadanie 12.48.
Zadanie 12.49.
Zadanie 12.50.
Zadanie 12.51.
Zadanie 12.52.
Zadanie 12.53.
Zadanie 12.54.
Zadanie 12.55.
Zadanie 12.56.
Zadanie 12.57.
Zadanie 12.58.
Zadanie 12.59.
Zadanie 12.60.
Zadanie 12.61.
Zadanie 12.62.
Zadanie 12.63.
Zadanie 12.64.
Zadanie 12.65.
Zadanie 12.66.
Zadanie 12.67.
Zadanie 12.68.
Zadanie 12.69.
Zadanie 12.70.
Zadanie 12.71.
Zadanie 12.72.
Zadanie 12.73.
Zadanie 12.74.
Zadanie 12.75.
Zadanie 12.76.
Zadanie 12.77.
Zadanie 12.78.
Zadanie 12.79.