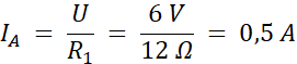
W położeniu A prąd płynie tylko przez opornik R1, natomiast w położeniu B przez oba oporniki, dlatego musimy obliczyć ich opór zastępczy, który przy połączeniu szeregowym ma wartość sumy oporów wszystkich oporników.
Wzrost oporu w obwodzie powoduje obniżenie natężenia prądu.