W tym zadaniu oblicz gęstość ciecz wlanej do lewego ramienia rurki w kształcie litery U, jeśli po wlaniu jej oraz drugiej cieczy o gęstość
Ciśnienie na wysokości styku rtęci z cieczami:
W lewym ramieniu:
W prawym ramieniu:
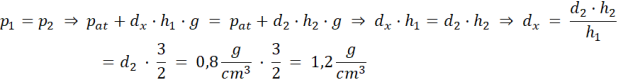
Warunek równowagi cieczy w naczyniach połączonych oznacza równość ciśnień:
Odpowiedź: Ciecz ma gęstość
Obliczamy ciśnienie na tym samym poziomie w obu ramionach rurki i zauważamy, że zgodnie z warunkiem równowagi cieczy w naczyniach połączonych ciśnienia te są sobie równe.
Przykład Przykład 1.
11Przykład Przykład 2.
12Przykład Przykład 3.
13Zadanie 7.1.2
14Zadanie 7.1.3
14Zadanie 7.1.5
15Zadanie 7.1.8
15Zadanie 7.1.9
15Przykład Przykład 1.
16Zadanie 7.2.1.
18Zadanie 7.2.3.
19Zadanie 7.2.12.
21Zadanie 7.2.13.
21Zadanie 7.3.2.
26Zadanie 7.4.1.
30Zadanie 7.4.11.
31Przykład Przykład 1.
32Przykład Przykład 3.
34Przykład Przykład 5.
37Zadanie 7.5.4.
38Zadanie 7.5.10.
39Zadanie 7.5.14.
40Zadanie 7.5.16.
40Zadanie 7.5.20.
41Zadanie 7.5.26.
42Przykład Przykład 1.
43Zadanie 7.6.2.
46Zadanie 7.6.6.
47Przykład Przykład 2.
49Zadanie 7.7.2.
52Zadanie 7.7.3.
52Zadanie 7.7.4.
53Zadanie 7.7.6.
53Przykład Przykład 1.
55Zadanie 7.8.7.
58Przykład Przykład. Gejzer
64Zadanie Zadanie 1. Śluza
66Zadanie Zadanie 2. Balon
67Zadanie Zadanie 3. Butla z gazem
67Zadanie Zadanie 4. Wartość energetyczna pożywienia
68