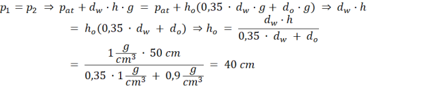
W tym zadaniu oblicz wysokość wody oraz oleju wlanych do rurki w kształcie litery U, jeśli w lewej części rurki znajduje się tylko woda o wysokości h = 50 cm, a w prawej znajduje się woda i olej w stosunku
Ciśnienie w lewym ramieniu:
Ciśnienie w prawym ramieniu:
Warunek równowagi cieczy w naczyniach połączonych oznacza równość ciśnień:
Wysokość wody:
Odpowiedź: Olej ma wysokość 40 cm, a woda wysokość 14 cm.
Obliczamy ciśnienie na tym samym poziomie (dno rurki) w obu ramionach rurki i zauważamy, że zgodnie z warunkiem równowagi cieczy w naczyniach połączonych ciśnienia te są sobie równe. Korzystamy z zależności pomiędzy wysokościami wody i oleju, żeby wyznaczyć wysokość oleju.
Przykład Przykład 1.
11Przykład Przykład 2.
12Przykład Przykład 3.
13Zadanie 7.1.2
14Zadanie 7.1.3
14Zadanie 7.1.5
15Zadanie 7.1.8
15Zadanie 7.1.9
15Przykład Przykład 1.
16Zadanie 7.2.1.
18Zadanie 7.2.3.
19Zadanie 7.2.12.
21Zadanie 7.2.13.
21Zadanie 7.3.2.
26Zadanie 7.4.1.
30Zadanie 7.4.11.
31Przykład Przykład 1.
32Przykład Przykład 3.
34Przykład Przykład 5.
37Zadanie 7.5.4.
38Zadanie 7.5.10.
39Zadanie 7.5.14.
40Zadanie 7.5.16.
40Zadanie 7.5.20.
41Zadanie 7.5.26.
42Przykład Przykład 1.
43Zadanie 7.6.2.
46Zadanie 7.6.6.
47Przykład Przykład 2.
49Zadanie 7.7.2.
52Zadanie 7.7.3.
52Zadanie 7.7.4.
53Zadanie 7.7.6.
53Przykład Przykład 1.
55Zadanie 7.8.7.
58Przykład Przykład. Gejzer
64Zadanie Zadanie 1. Śluza
66Zadanie Zadanie 2. Balon
67Zadanie Zadanie 3. Butla z gazem
67Zadanie Zadanie 4. Wartość energetyczna pożywienia
68