W tym zadaniu oblicz, o ile procent zmieni się okres wahadła matematycznego, gdy temperatura wzrośnie o
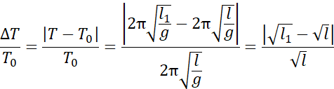
Procentowa zmiana okresu wahadła:
Aby obliczyć długość wahadła w innej temperaturze, korzystamy ze wzoru na rozszerzalność liniową:
Podstawiając wartości liczbowe:
Odpowiedź: Okres wahadła zmieni się o około 0,007%.
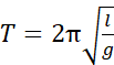
Korzystamy ze wzoru na rozszerzalność liniową i wzoru na okres wahadła matematycznego. Względna zmiana to iloraz zmiany i wartości początkowej. Zmiana temperatury w skali Celsjusza ma taką samą wartość w skali Kelwina.
Przykład Przykład 1.
11Przykład Przykład 2.
12Przykład Przykład 3.
13Zadanie 7.1.2
14Zadanie 7.1.3
14Zadanie 7.1.5
15Zadanie 7.1.8
15Zadanie 7.1.9
15Przykład Przykład 1.
16Zadanie 7.2.1.
18Zadanie 7.2.3.
19Zadanie 7.2.12.
21Zadanie 7.2.13.
21Zadanie 7.3.2.
26Zadanie 7.4.1.
30Zadanie 7.4.11.
31Przykład Przykład 1.
32Przykład Przykład 3.
34Przykład Przykład 5.
37Zadanie 7.5.4.
38Zadanie 7.5.10.
39Zadanie 7.5.14.
40Zadanie 7.5.16.
40Zadanie 7.5.20.
41Zadanie 7.5.26.
42Przykład Przykład 1.
43Zadanie 7.6.2.
46Zadanie 7.6.6.
47Przykład Przykład 2.
49Zadanie 7.7.2.
52Zadanie 7.7.3.
52Zadanie 7.7.4.
53Zadanie 7.7.6.
53Przykład Przykład 1.
55Zadanie 7.8.7.
58Przykład Przykład. Gejzer
64Zadanie Zadanie 1. Śluza
66Zadanie Zadanie 2. Balon
67Zadanie Zadanie 3. Butla z gazem
67Zadanie Zadanie 4. Wartość energetyczna pożywienia
68