W tym zadaniu oblicz siłę, jaką trzeba działać na rączkę podnośnika, aby podnieść ciężar o masie m = 400 kg, jeśli odległość od punktu przyłożenia siły do osi obrotu to
Ze wzoru na ciśnienie i prawa Pascala obliczamy siłę, jaka powinna działać na mały tłok:
Siła nacisku
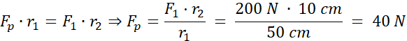
Zapisujemy równość momentów sił
Odpowiedź: Na rączkę podnośnika należy działać siłą około 40 N.
Korzystamy ze wzoru na ciśnienie i prawa Pascala – ciśnienie jest takie samo w całej objętości cieczy. Następnie korzystamy równości momentów sił – iloczyny siły, odległości od punktu odniesienia oraz sinusa kąta pomiędzy nimi (u nas sin(90o) = 1) muszą być równe dla obu sił.
Przykład Przykład 1.
11Przykład Przykład 2.
12Przykład Przykład 3.
13Zadanie 7.1.2
14Zadanie 7.1.3
14Zadanie 7.1.5
15Zadanie 7.1.8
15Zadanie 7.1.9
15Przykład Przykład 1.
16Zadanie 7.2.1.
18Zadanie 7.2.3.
19Zadanie 7.2.12.
21Zadanie 7.2.13.
21Zadanie 7.3.2.
26Zadanie 7.4.1.
30Zadanie 7.4.11.
31Przykład Przykład 1.
32Przykład Przykład 3.
34Przykład Przykład 5.
37Zadanie 7.5.4.
38Zadanie 7.5.10.
39Zadanie 7.5.14.
40Zadanie 7.5.16.
40Zadanie 7.5.20.
41Zadanie 7.5.26.
42Przykład Przykład 1.
43Zadanie 7.6.2.
46Zadanie 7.6.6.
47Przykład Przykład 2.
49Zadanie 7.7.2.
52Zadanie 7.7.3.
52Zadanie 7.7.4.
53Zadanie 7.7.6.
53Przykład Przykład 1.
55Zadanie 7.8.7.
58Przykład Przykład. Gejzer
64Zadanie Zadanie 1. Śluza
66Zadanie Zadanie 2. Balon
67Zadanie Zadanie 3. Butla z gazem
67Zadanie Zadanie 4. Wartość energetyczna pożywienia
68