W tym zadaniu oblicz, ile litrów wody należy wlać do pustej beczki o masie m = 25 kg, wysokości h = 88 cm i średnicy dna śr = 61 cm, by pływała w wodzie zanurzona do połowy. Przyjmij gęstość wody
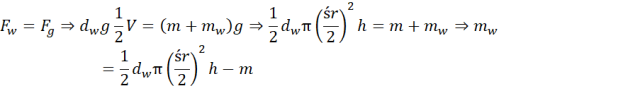
Zanurzenie beczki ustali się, gdy siła wyporu zanurzonej części zrównoważy jego siłę ciężkości:
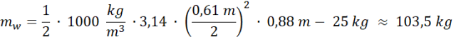
Podstawiając dane:
1 kg wody ma objętość 1 litra, więc potrzeba około 103,5 l wody.
Odpowiedź: Beczka będzie pływać zanurzona w połowie, gdy nalejemy do niej około 103,5 litra wody.
Klocek beczka pływa, gdy działająca na nią siła wypadkowa jest równa 0, czyli siła wyporu zanurzonej części równoważy siłę ciężkości klocka. 1 kg wody ma objętość 1 litra.
Przykład Przykład 1.
11Przykład Przykład 2.
12Przykład Przykład 3.
13Zadanie 7.1.2
14Zadanie 7.1.3
14Zadanie 7.1.5
15Zadanie 7.1.8
15Zadanie 7.1.9
15Przykład Przykład 1.
16Zadanie 7.2.1.
18Zadanie 7.2.3.
19Zadanie 7.2.12.
21Zadanie 7.2.13.
21Zadanie 7.3.2.
26Zadanie 7.4.1.
30Zadanie 7.4.11.
31Przykład Przykład 1.
32Przykład Przykład 3.
34Przykład Przykład 5.
37Zadanie 7.5.4.
38Zadanie 7.5.10.
39Zadanie 7.5.14.
40Zadanie 7.5.16.
40Zadanie 7.5.20.
41Zadanie 7.5.26.
42Przykład Przykład 1.
43Zadanie 7.6.2.
46Zadanie 7.6.6.
47Przykład Przykład 2.
49Zadanie 7.7.2.
52Zadanie 7.7.3.
52Zadanie 7.7.4.
53Zadanie 7.7.6.
53Przykład Przykład 1.
55Zadanie 7.8.7.
58Przykład Przykład. Gejzer
64Zadanie Zadanie 1. Śluza
66Zadanie Zadanie 2. Balon
67Zadanie Zadanie 3. Butla z gazem
67Zadanie Zadanie 4. Wartość energetyczna pożywienia
68