W tym zadaniu narysuj wektor średniej siły działającej na boczną ścianę śluzy o szerokości a = 7 m, która tworzy z poziomem wody kąt
Średnie ciśnienie wody o wysokości h:
Siła parcia działająca na wrota:
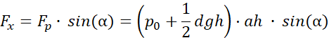
Pozioma składowa siły parcia jest równa:
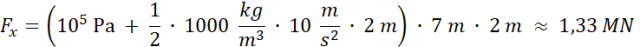
Podstawiając wartości liczbowe:
Odpowiedź: Pozioma składowa siły parcia ma wartość około 1,33 MN.
Średnie ciśnienie wody o wysokości h jest równe średniej arytmetycznej ciśnienia na dnia i ciśnienia na powierzchni. Ciśnienie wody o pewnej wysokości to suma ciśnień atmosferycznego i hydrostatycznego. Korzystając z funkcji trygonometrycznych, obliczamy wartość składowej poziomej siły parcia.
Przykład Przykład 1.
11Przykład Przykład 2.
12Przykład Przykład 3.
13Zadanie 7.1.2
14Zadanie 7.1.3
14Zadanie 7.1.5
15Zadanie 7.1.8
15Zadanie 7.1.9
15Przykład Przykład 1.
16Zadanie 7.2.1.
18Zadanie 7.2.3.
19Zadanie 7.2.12.
21Zadanie 7.2.13.
21Zadanie 7.3.2.
26Zadanie 7.4.1.
30Zadanie 7.4.11.
31Przykład Przykład 1.
32Przykład Przykład 3.
34Przykład Przykład 5.
37Zadanie 7.5.4.
38Zadanie 7.5.10.
39Zadanie 7.5.14.
40Zadanie 7.5.16.
40Zadanie 7.5.20.
41Zadanie 7.5.26.
42Przykład Przykład 1.
43Zadanie 7.6.2.
46Zadanie 7.6.6.
47Przykład Przykład 2.
49Zadanie 7.7.2.
52Zadanie 7.7.3.
52Zadanie 7.7.4.
53Zadanie 7.7.6.
53Przykład Przykład 1.
55Zadanie 7.8.7.
58Przykład Przykład. Gejzer
64Zadanie Zadanie 1. Śluza
66Zadanie Zadanie 2. Balon
67Zadanie Zadanie 3. Butla z gazem
67Zadanie Zadanie 4. Wartość energetyczna pożywienia
68