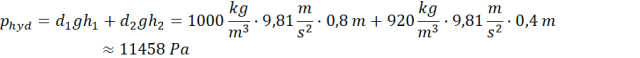
W tym zadaniu oblicz ciśnienie hydrostatyczne oraz parcie na dno naczynia, którego podstawą jest kwadrat o boku a = 40 cm, jeśli nalano do niego h1 = 80 cm wody o gęstości
Ciśnienie hydrostatyczne:
Odpowiedź: Ciśnienie hydrostatyczne na dnie naczynia jest równe około 11458 Pa, a siła parcia na dno wynosi około 18,04 kN.
Ciśnienie hydrostatyczne na dnie jest sumą ciśnień hydrostatycznych wywieranych przez wodę i olej. Siłę parcia obliczamy ze wzoru na ciśnienie, gdzie ciśnieniem jest suma ciśnienia atmosferycznego i hydrostatycznego, a powierzchnią jest podstawa naczynia.
Przykład Przykład 1.
11Przykład Przykład 2.
12Przykład Przykład 3.
13Zadanie 7.1.2
14Zadanie 7.1.3
14Zadanie 7.1.5
15Zadanie 7.1.8
15Zadanie 7.1.9
15Przykład Przykład 1.
16Zadanie 7.2.1.
18Zadanie 7.2.3.
19Zadanie 7.2.12.
21Zadanie 7.2.13.
21Zadanie 7.3.2.
26Zadanie 7.4.1.
30Zadanie 7.4.11.
31Przykład Przykład 1.
32Przykład Przykład 3.
34Przykład Przykład 5.
37Zadanie 7.5.4.
38Zadanie 7.5.10.
39Zadanie 7.5.14.
40Zadanie 7.5.16.
40Zadanie 7.5.20.
41Zadanie 7.5.26.
42Przykład Przykład 1.
43Zadanie 7.6.2.
46Zadanie 7.6.6.
47Przykład Przykład 2.
49Zadanie 7.7.2.
52Zadanie 7.7.3.
52Zadanie 7.7.4.
53Zadanie 7.7.6.
53Przykład Przykład 1.
55Zadanie 7.8.7.
58Przykład Przykład. Gejzer
64Zadanie Zadanie 1. Śluza
66Zadanie Zadanie 2. Balon
67Zadanie Zadanie 3. Butla z gazem
67Zadanie Zadanie 4. Wartość energetyczna pożywienia
68