W tym zadaniu oblicz wysokość naczynia, przy którym połączona z nim beczka może być rozerwana, jeśli ciśnienie hydrostatyczne wewnątrz beczki powinno być mniejsze niż podwojone ciśnienie atmosferyczne p < 2pat, by beczka nie została rozerwana. Przyjmij gęstość wody
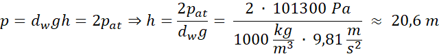
Beczka może być rozerwana, gdy ciśnienie hydrostatyczne będzie równe podwojonemu ciśnieniu atmosferycznemu:
Odpowiedź: Beczka może być rozerwana, gdy naczynie będzie na wysokości około 20,6 m.
Beczka może być rozerwana, gdy ciśnienie hydrostatyczne będzie równe podwojonemu ciśnieniu atmosferycznemu, korzystamy ze wzoru na ciśnienie hydrostatyczne.
Przykład Przykład 1.
11Przykład Przykład 2.
12Przykład Przykład 3.
13Zadanie 7.1.2
14Zadanie 7.1.3
14Zadanie 7.1.5
15Zadanie 7.1.8
15Zadanie 7.1.9
15Przykład Przykład 1.
16Zadanie 7.2.1.
18Zadanie 7.2.3.
19Zadanie 7.2.12.
21Zadanie 7.2.13.
21Zadanie 7.3.2.
26Zadanie 7.4.1.
30Zadanie 7.4.11.
31Przykład Przykład 1.
32Przykład Przykład 3.
34Przykład Przykład 5.
37Zadanie 7.5.4.
38Zadanie 7.5.10.
39Zadanie 7.5.14.
40Zadanie 7.5.16.
40Zadanie 7.5.20.
41Zadanie 7.5.26.
42Przykład Przykład 1.
43Zadanie 7.6.2.
46Zadanie 7.6.6.
47Przykład Przykład 2.
49Zadanie 7.7.2.
52Zadanie 7.7.3.
52Zadanie 7.7.4.
53Zadanie 7.7.6.
53Przykład Przykład 1.
55Zadanie 7.8.7.
58Przykład Przykład. Gejzer
64Zadanie Zadanie 1. Śluza
66Zadanie Zadanie 2. Balon
67Zadanie Zadanie 3. Butla z gazem
67Zadanie Zadanie 4. Wartość energetyczna pożywienia
68