W tym zadaniu oblicz maksymalną zmianę temperatury, przy której alkohole etylowy nie wyleje się ze stalowej cysterny, jeśli cysterna jest początkowo napełniona w 98%. Współczynniki rozszerzalności objętościowej dla stali i alkoholu etylowego wynoszą odpowiednio:
Objętość cysterny po zmianie temperatury:
Objętość alkoholu etylowego po zmianie temperatury:
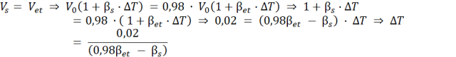
Maksymalną zmianę temperatury osiągniemy, gdy objętość cysterny i alkoholu będą sobie równe:
Podstawiamy dane i otrzymujemy:
Odpowiedź: Cysternę i alkohol można podgrzać o maksymalnie 19,2oC
Korzystamy ze wzoru na rozszerzalność objętościową. Zmiana temperatury w skali Celsjusza ma taką samą wartość w skali Kelwina.
Przykład Przykład 1.
11Przykład Przykład 2.
12Przykład Przykład 3.
13Zadanie 7.1.2
14Zadanie 7.1.3
14Zadanie 7.1.5
15Zadanie 7.1.8
15Zadanie 7.1.9
15Przykład Przykład 1.
16Zadanie 7.2.1.
18Zadanie 7.2.3.
19Zadanie 7.2.12.
21Zadanie 7.2.13.
21Zadanie 7.3.2.
26Zadanie 7.4.1.
30Zadanie 7.4.11.
31Przykład Przykład 1.
32Przykład Przykład 3.
34Przykład Przykład 5.
37Zadanie 7.5.4.
38Zadanie 7.5.10.
39Zadanie 7.5.14.
40Zadanie 7.5.16.
40Zadanie 7.5.20.
41Zadanie 7.5.26.
42Przykład Przykład 1.
43Zadanie 7.6.2.
46Zadanie 7.6.6.
47Przykład Przykład 2.
49Zadanie 7.7.2.
52Zadanie 7.7.3.
52Zadanie 7.7.4.
53Zadanie 7.7.6.
53Przykład Przykład 1.
55Zadanie 7.8.7.
58Przykład Przykład. Gejzer
64Zadanie Zadanie 1. Śluza
66Zadanie Zadanie 2. Balon
67Zadanie Zadanie 3. Butla z gazem
67Zadanie Zadanie 4. Wartość energetyczna pożywienia
68