W tym zadaniu oblicz proporcje, w jakich należy nalać wodę w temperaturze T1 = 65oC i T2 = 15oC, aby uzyskać temperaturę kąpieli Tk = 35oC. Pomiń parowanie wody.
Aby określić, w jakich proporcjach należy nalać wodę, musimy ustalić iloraz masy wody ciepłej i zimnej. Wiemy, że ilość ciepła potrzebna do zmiany temperatury ciała o
oraz że ciepła woda oddaje
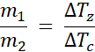
Ostatecznie ciepło pobrane i oddane są sobie równe, co zapisujemy następująco:
Z powyższego wzoru wyznaczamy iloraz mas:
Różnica temperatur w stopniach Celsjusza jest taka sama jak w kelwinach, czyli po podstawieniu danych liczbowych z treści zadania otrzymujemy:
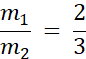
Wynika z tego, że:
czyli do otrzymania wskazanej w zadaniu temperatury kąpieli na każde dwa litry ciepłej wody są potrzebne trzy litry zimnej wody.
Odpowiedź: Do wanny należy nalać wody ciepłej i zimnej w proporcjach 2 : 3.
Korzystamy ze wzoru na ilość ciepła potrzebnego do zmiany temperatury ciała o
Przykład Przykład 1.
11Przykład Przykład 2.
12Przykład Przykład 3.
13Zadanie 7.1.2
14Zadanie 7.1.3
14Zadanie 7.1.5
15Zadanie 7.1.8
15Zadanie 7.1.9
15Przykład Przykład 1.
16Zadanie 7.2.1.
18Zadanie 7.2.3.
19Zadanie 7.2.12.
21Zadanie 7.2.13.
21Zadanie 7.3.2.
26Zadanie 7.4.1.
30Zadanie 7.4.11.
31Przykład Przykład 1.
32Przykład Przykład 3.
34Przykład Przykład 5.
37Zadanie 7.5.4.
38Zadanie 7.5.10.
39Zadanie 7.5.14.
40Zadanie 7.5.16.
40Zadanie 7.5.20.
41Zadanie 7.5.26.
42Przykład Przykład 1.
43Zadanie 7.6.2.
46Zadanie 7.6.6.
47Przykład Przykład 2.
49Zadanie 7.7.2.
52Zadanie 7.7.3.
52Zadanie 7.7.4.
53Zadanie 7.7.6.
53Przykład Przykład 1.
55Zadanie 7.8.7.
58Przykład Przykład. Gejzer
64Zadanie Zadanie 1. Śluza
66Zadanie Zadanie 2. Balon
67Zadanie Zadanie 3. Butla z gazem
67Zadanie Zadanie 4. Wartość energetyczna pożywienia
68