W tym zadaniu oblicz energię wewnętrzną gazu w butli wypełnionej argonem o masie m = 5 kg i temperaturze TC = 15oC, zakładając, że energia wewnętrzna gazu jest równa energii kinetycznej ruchu postępowego jego cząsteczek. Przyjmij masę molową argonu
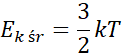
Z założenia przyjętego w zadaniu wynika, że energia wewnętrzna gazu w butli jest sumą energii kinetycznych ruchu postępowego wszystkich znajdujących się w niej cząsteczek. Dla każdej cząsteczki gazu możemy obliczyć jej średnią energię kinetyczną ruchu postępowego, która wyraża się wzorem:
Jeżeli więc pomnożymy otrzymany wynik przez liczbę N cząsteczek w butli, to otrzymamy energię wewnętrzną gazu w butli:
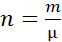
Liczba moli gazu w butli wyraża się zależnością:
Dodatkowo wiemy, że jeden mol substancji to tyle jej gramów, ile jednostek masy atomowej ma cząsteczka danej substancji, czyli liczbę moli obliczamy ze wzoru:
Gdzie: m – masa gazu,
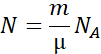
Z porównania wzorów (2) i (3) wyznaczamy liczbę cząsteczek argonu w butli:
Po jej wstawieniu do wzoru na energię wewnętrzną (1) otrzymujemy:
Temperaturę TC = 15oC wyrażamy w skali Kelwina:
Podstawiamy dane liczbowe do wzoru na energię wewnętrzną i otrzymujemy:
Odpowiedź: Energia wewnętrzna argonu znajdującego się w butli wynosi ok. 450 kJ.
Korzystamy ze wzoru na średnią energię kinetyczną ruchu postępowego cząsteczek gazu i mnożymy ją razy liczbę cząsteczek, by otrzymać energię wewnętrzną gazu. Wyznaczamy liczbę cząsteczek, porównując zależność liczby moli z liczbą cząsteczek oraz liczby moli z masą substancji. Przeliczamy temperaturę w stopniach Celsjusza na skalę Kelwina.
Przykład Przykład 1.
11Przykład Przykład 2.
12Przykład Przykład 3.
13Zadanie 7.1.2
14Zadanie 7.1.3
14Zadanie 7.1.5
15Zadanie 7.1.8
15Zadanie 7.1.9
15Przykład Przykład 1.
16Zadanie 7.2.1.
18Zadanie 7.2.3.
19Zadanie 7.2.12.
21Zadanie 7.2.13.
21Zadanie 7.3.2.
26Zadanie 7.4.1.
30Zadanie 7.4.11.
31Przykład Przykład 1.
32Przykład Przykład 3.
34Przykład Przykład 5.
37Zadanie 7.5.4.
38Zadanie 7.5.10.
39Zadanie 7.5.14.
40Zadanie 7.5.16.
40Zadanie 7.5.20.
41Zadanie 7.5.26.
42Przykład Przykład 1.
43Zadanie 7.6.2.
46Zadanie 7.6.6.
47Przykład Przykład 2.
49Zadanie 7.7.2.
52Zadanie 7.7.3.
52Zadanie 7.7.4.
53Zadanie 7.7.6.
53Przykład Przykład 1.
55Zadanie 7.8.7.
58Przykład Przykład. Gejzer
64Zadanie Zadanie 1. Śluza
66Zadanie Zadanie 2. Balon
67Zadanie Zadanie 3. Butla z gazem
67Zadanie Zadanie 4. Wartość energetyczna pożywienia
68