W tym zadaniu oblicz prędkość średnią protonu w temperaturze T = 6000 K. Do obliczeń przyjmij masę protonu m = 1,00728 u, jednostkę masy atomowej
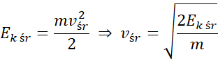
Z definicji energii kinetycznej:
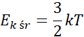
Średnia energia kinetyczna ruchu postępowego cząsteczki gazu:
Więc:
Podstawiając dane:
Odpowiedź: Prędkość średnią zjonizowanego atomu wodoru w powłoce Słońca to około
Korzystamy z definicji energii kinetycznej oraz wzoru na średnią energię kinetyczną ruchu postępowego cząsteczki gazu. Przyjmujemy wartość stałej Boltzmanna
Przykład Przykład 1.
11Przykład Przykład 2.
12Przykład Przykład 3.
13Zadanie 7.1.2
14Zadanie 7.1.3
14Zadanie 7.1.5
15Zadanie 7.1.8
15Zadanie 7.1.9
15Przykład Przykład 1.
16Zadanie 7.2.1.
18Zadanie 7.2.3.
19Zadanie 7.2.12.
21Zadanie 7.2.13.
21Zadanie 7.3.2.
26Zadanie 7.4.1.
30Zadanie 7.4.11.
31Przykład Przykład 1.
32Przykład Przykład 3.
34Przykład Przykład 5.
37Zadanie 7.5.4.
38Zadanie 7.5.10.
39Zadanie 7.5.14.
40Zadanie 7.5.16.
40Zadanie 7.5.20.
41Zadanie 7.5.26.
42Przykład Przykład 1.
43Zadanie 7.6.2.
46Zadanie 7.6.6.
47Przykład Przykład 2.
49Zadanie 7.7.2.
52Zadanie 7.7.3.
52Zadanie 7.7.4.
53Zadanie 7.7.6.
53Przykład Przykład 1.
55Zadanie 7.8.7.
58Przykład Przykład. Gejzer
64Zadanie Zadanie 1. Śluza
66Zadanie Zadanie 2. Balon
67Zadanie Zadanie 3. Butla z gazem
67Zadanie Zadanie 4. Wartość energetyczna pożywienia
68