Skul.pl
  • Opracowania zadań z podręczników
  • Fizyka. Klasa 4. Poziom rozszerzony. Podręcznik - rozwiązania i odpowiedzi
  • Zadanie 2.2

Fizyka. Klasa 4. Poziom rozszerzony. Podręcznik - rozwiązania i odpowiedzi

Podręcznik, Wydawnictwo: WSiP
Poprzednie

Zadanie 2.2 - strona 231

Następne

Zadanie

W tym zadaniu musisz obliczyć pole pod wykresem i na podstawie tego ilorazu i podanej drogi, podać masę ciała.

Rozwiązanie

Skul

Wyjaśnienie

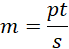
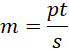
Pęd ciała:

Więc masa:

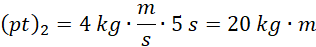
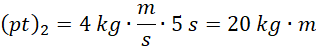
Iloczyn będzie równy polu wyznaczanemu pod wykresem.

Podziel wykres na trzy części, każda odpowiadająca innej sile, policz pole pod wykresem dla każdej z nich, zsumuj je i ostatecznie podziel przez drogę jaką pokonało ciało. W rezultacie otrzymasz masę tego ciała.

Poprzednie
Następne

Fizyka - wybrane pytania

Zadanie 3, strona 16, To jest fizyka. Klasa 8. Zeszyt ćwiczeń - rozwiązania i odpowiedzi
Zadanie 10, strona 75, Spotkania z fizyką. Klasa 8. Zeszyt ćwiczeń - rozwiązania i odpowiedzi
Zadanie 48.6, strona 157, Fizyka. Klasa 2. Zakres rozszerzony. Zbiór zadań - rozwiązania i odpowiedzi
Zadanie 3., strona 102, Fizyka. Klasa 7-8. Zbiór zadań - rozwiązania i odpowiedzi
Ćwiczenie 1.3., strona 6, Fizyka. Klasa 1-3. Zakres podstawowy. Zbiór zadań - rozwiązania i odpowiedzi
Zadanie 2, strona 12, Fizyka. Klasa 7. Podręcznik - rozwiązania i odpowiedzi
Zadanie 20, strona 72, Fizyka. Klasy 1-3. Zakres podstawowy. Zbiór zadań - rozwiązania i odpowiedzi
Zadanie 1., strona 140, Fizyka z plusem. Klasa 8. Podręcznik - rozwiązania i odpowiedzi
Zadanie 26.2, strona 129, Fizyka. Klasa 4. Zakres rozszerzony. Zbiór zadań - rozwiązania i odpowiedzi
Pytanie 1.11, strona 29, Fizyka. Klasa 4. Zakres rozszerzony. Zbiór zadań - rozwiązania i odpowiedzi
REKLAMA
Skul
Zadania z tego działu
Zadania powtórzeniowe
217
Zestaw 1
218

Zadanie 1.1

218

Zadanie 1.2

218

Zadanie 1.3

218

Zadanie 1.4

218

Zadanie 2.1

219

Zadanie 2.2

219

Podpunkt a)

219

Podpunkt b)

219

Zadanie 3

219

Zadanie 4.1

221

Zadanie 4.2

221

Zadanie 4.3

221

Zadanie 5.1

222

Zadanie 5.2

222

Zadanie 6.1

223

Zadanie 6.2

223

Zadanie 7.1

224

Zadanie 7.2

223

Zadanie 8.1

224

Zadanie 8.2

225

Zadanie 8.3

225

Zadanie 9.1

226

Zadanie 9.2

227

Zadanie 10.1

227

Zadanie 10.2

227

Zadanie 11

227

Zadanie 12.1

228

Zadanie 12.2

228
Zestaw 2
229

Zadanie 1.1

229

Zadanie 1.2

230

Zadanie 2.1

231

Zadanie 2.2

231

Zadanie 3.1

232

Zadanie 3.2

232

Zadanie 3.3

232

Zadanie 4.1

232

Zadanie 4.2

223

Zadanie 5

233

Zadanie 6.1

234

Zadanie 6.2

235

Zadanie 6.3

235

Zadanie 7.1

235

Zadanie 7.2

236

Zadanie 7.3

236

Zadanie 8.1

237

Zadanie 8.2

237

Zadanie 8.3

237

Zadanie 8.4

238

Zadanie 9.1

238

Zadanie 9.2

238

Zadanie 10.1

239

Zadanie 10.2

239
Pełny spis treści
Skul
Artboard 1
Skul.pl
  • Napisz do nas
  • FAQ
  • Mapa Serwisu
  • Google Play
  • App Store

Korzystanie z portalu oznacza akceptację Regulaminu.
Polityka prywatności. Ustawienia preferencji. Copyright: INTERIA.PL 1999-2023 Wszystkie prawa zastrzeżone.