Źródło: opracowanie własne
Zaznacz na wykresie punkty z uwzględnieniem niepewności i pociągnij przez nie optymalną prostą:
Źródło: opracowanie własne
Z wykresu odczytaj wartość napięcia odpowiadającą
Według II prawa Kirchhoffa, siła elektromotoryczna będzie równa :
Gdzie
Ponieważ z prawa Ohma:
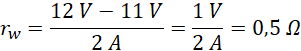
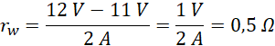
Aby obliczyć opór