Skul.pl
  • Opracowania zadań z podręczników
  • Fizyka. Klasa 4. Poziom rozszerzony. Podręcznik - rozwiązania i odpowiedzi
  • Zadanie 6.1

Fizyka. Klasa 4. Poziom rozszerzony. Podręcznik - rozwiązania i odpowiedzi

Podręcznik, Wydawnictwo: WSiP
Poprzednie

Zadanie 6.1 - strona 223

Następne

Zadanie

W tym zadaniu musisz wykonać obliczenia, które udowodnią, że gdy kulka K2 zbliży się do kulki K1 na odległość mniejszej od 6,4 cm, kulka K1 oderwie się od podłoża.

Rozwiązanie

Skul

Wyjaśnienie

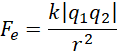
Kulka zacznie się poruszać w stronę kulki kiedy siła oddziaływania elektrostatycznego między kulkami przeważy siłę ciężkości działająca na kulkę .

Musisz w takim wypadku znaleźć odległość, dla której:

Znajdź r:

Podstaw wartości:

Poprzednie
Następne

Fizyka - wybrane pytania

Zadanie 4, strona 44, Fizyka. Klasa 3. Zakres podstawowy. Podręcznik - rozwiązania i odpowiedzi
Zadanie 5., strona 115, Spotkania z fizyką. Klasa 8. Podręcznik - rozwiązania i odpowiedzi
Zadanie 8.64., strona 118, Fizyka. Klasa 7-8. Zbiór zadań - rozwiązania i odpowiedzi
Pytanie 4, strona 64, Zrozumieć fizykę. Klasa 4. Poziom rozszerzony. Podręcznik - rozwiązania i odpowiedzi
Zadanie 3., strona 101, Fizyka. To jest fizyka. Klasa 8. Podręcznik - rozwiązania i odpowiedzi
Zadanie 5.3.2., strona 182, Zrozumieć fizykę. Klasa 1. Zakres rozszerzony. Zbiór zadań - rozwiązania i odpowiedzi
Zadanie 2.74., strona 21, Fizyka. Klasa 7-8. Zbiór zadań - rozwiązania i odpowiedzi
Zadanie 3, strona 214, Fizyka. Klasa 7. Podręcznik – rozwiązania i odpowiedzi
Ćwiczenie 9.16., strona 19, Świat fizyki. Klasa 8. Zbiór zadań - rozwiązania i odpowiedzi
Zadanie 3., strona 38, Fizyka. Klasa 1. Podręcznik. Zakres podstawowy - rozwiązania i odpowiedzi
REKLAMA
Skul
Zadania z tego działu
Zadania powtórzeniowe
217
Zestaw 1
218

Zadanie 1.1

218

Zadanie 1.2

218

Zadanie 1.3

218

Zadanie 1.4

218

Zadanie 2.1

219

Zadanie 2.2

219

Podpunkt a)

219

Podpunkt b)

219

Zadanie 3

219

Zadanie 4.1

221

Zadanie 4.2

221

Zadanie 4.3

221

Zadanie 5.1

222

Zadanie 5.2

222

Zadanie 6.1

223

Zadanie 6.2

223

Zadanie 7.1

224

Zadanie 7.2

223

Zadanie 8.1

224

Zadanie 8.2

225

Zadanie 8.3

225

Zadanie 9.1

226

Zadanie 9.2

227

Zadanie 10.1

227

Zadanie 10.2

227

Zadanie 11

227

Zadanie 12.1

228

Zadanie 12.2

228
Zestaw 2
229

Zadanie 1.1

229

Zadanie 1.2

230

Zadanie 2.1

231

Zadanie 2.2

231

Zadanie 3.1

232

Zadanie 3.2

232

Zadanie 3.3

232

Zadanie 4.1

232

Zadanie 4.2

223

Zadanie 5

233

Zadanie 6.1

234

Zadanie 6.2

235

Zadanie 6.3

235

Zadanie 7.1

235

Zadanie 7.2

236

Zadanie 7.3

236

Zadanie 8.1

237

Zadanie 8.2

237

Zadanie 8.3

237

Zadanie 8.4

238

Zadanie 9.1

238

Zadanie 9.2

238

Zadanie 10.1

239

Zadanie 10.2

239
Pełny spis treści
Skul
Artboard 1
Skul.pl
  • Napisz do nas
  • FAQ
  • Mapa Serwisu
  • Google Play
  • App Store

Korzystanie z portalu oznacza akceptację Regulaminu.
Polityka prywatności. Ustawienia preferencji. Copyright: INTERIA.PL 1999-2023 Wszystkie prawa zastrzeżone.