| Długość fali λ (m) | Szybkość fali v | Częstotliwość fali f (Hz) | Okres fali T (s) |
| 8 | 16 | 2 | 0,5 |
| 0,5 | 0,5 | 1 | 1 |
| 17 | 340 | 20 | 0,05 |
1:
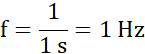
Częstotliwość:
Okres:
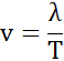
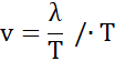
Prędkość fali:
2:
Okres:
Częstotliwość:
3:
Okres fali:
Długość fali:
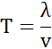
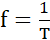
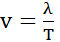
Wykorzystaj wzory na prędkość fali i na częstotliwość:
gdzie v – prędkość fali
λ – długość fali [m]
T – okres fali [s].
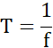
gdzie f – częstotliwość drgań [Hz],
T – okres drgań [s].