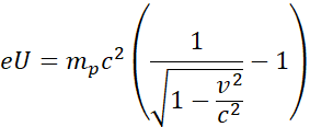
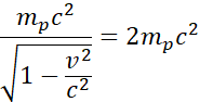
Zapisz zależność przedstawioną w treści zadania i wyznacz wartość nieznanych parametrów. Następnie, korzystając z zasady zachowania energii, zapisz równość pracy wykonanej przez akcelerator cząstek i energii kinetycznej protonu. Przekształć wzór, wstaw odpowiednie dane liczbowe i wykonaj obliczenia.