Rakieta o długości m porusza się względem Ziemi z prędkością . Wiedząc to, określ w przybliżeniu długość rakiety wyznaczoną z Ziemi:
A. 12,6 m
B. 10 m
C. 9,6 m
D. 8,6 m
Rozwiązanie
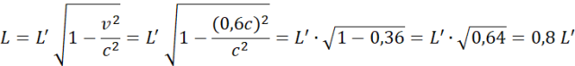
– długość własna rakiety
Z transformacji Lorentza:
Odp. C.
Wyjaśnienie
Wykorzystaj wzór opisujący zależność między długościami drogi mierzonymi w dwóch układach wyprowadzony na podstawie transformacji Lorentza. Wstaw dane liczbowe i wykonaj obliczenia.