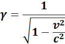
| Prędkość V |
| k | ||
| 0,2c | 0,020 | 1,0206 | 0,0206 | |
| 0,4c | 0,080 | 1,0911 | 0,0911 | |
| 0,6c | 0,180 | 1,2500 | 0,2500 | |
| 0,8c | 0,320 | 1,6667 | 0,6667 | |
| 0,9c | 0,405 | 2,2942 | 1,2942 | |
| c | 0,500 | γ→∞ |
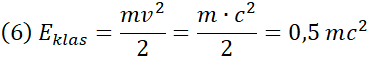
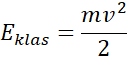
Wykorzystaj wzory na energię kinetyczną w podejściu klasycznym i relatywistycznym. Wstaw dane liczbowe odczytane z tabeli i wykonaj obliczenia. Na koniec wstaw zapisz wyniki w tabeli.