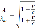
Linia widmowa przesuwa się w kierunku fioletu, więc źródło zbliża się do Ziemi.
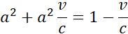
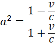
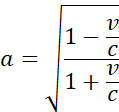
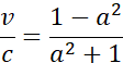
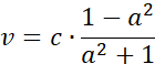
Na podstawie danych z treści zadania wyznacz wartość długość fali widocznej na Ziemi. Następnie, wiedząc, że źródło zbliża się do obserwatora, zastosuj wzór Dopplera dla mechaniki relatywistycznej. Przekształć go, wstaw odpowiednie dane i wykonaj obliczenia.