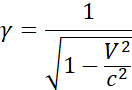
We wzorach relatywistycznych pojawia się współczynnik . Podaj jego wartość i na tej podstawie ustal, czy w opisanych sytuacjach należy uwzględnić efekty relatywistyczne.
Rakieta rozpędza się do prędkości ucieczki z powierzchni Księżyca .
Rozwiązanie
– w opisanej sytuacji nie należy uwzględniać efektów relatywistycznych.
Wyjaśnienie
Zapisz wzór na współczynnik, a następnie ujednolić jednostki wartości w nim występujących (). Wstaw wartości i wykonaj obliczenia. Jeśli współczynnik ma wartość równą lub w przybliżeniu równą 1 w opisanej sytuacji nie uwzględnia się efektów relatywistycznych.