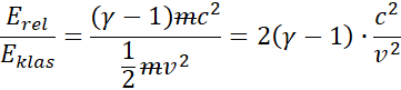
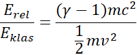
Porównaj energię kinetyczną elektronu obliczoną przy wykorzystaniu wzorów relatywistycznych z energią kinetyczną obliczoną klasycznie. Użyj wzoru:
Następnie dokonaj obliczeń dla danych z tabeli i uzupełnij ją.
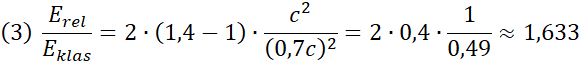
Uprość wzór podany w treści zadania i wstaw dane liczbowe dla każdego z pięciu przypadków. Wykonaj obliczenia, a wyniki zapisz w tabeli.
Zadanie 19.1.1
Podpunkt a)
Podpunkt b)
Podpunkt c)
Podpunkt d)
Podpunkt e)
Podpunkt f)
Podpunkt g)
Zadanie 19.1.2
Zadanie 19.1.3
Zadanie 19.1.4
Zadanie 19.1.5
Zadanie 19.1.6
Zadanie 19.1.7
Zadanie 19.1.8
Zadanie 19.1.9
Zadanie 19.1.10
Zadanie 19.1.11
Zadanie 19.1.12
Zadanie 19.1.13
Zadanie 19.1.14
Zadanie 19.2.1
Zadanie 19.2.2
Zadanie 19.2.3
Zadanie 19.2.4
Zadanie 19.2.5
Zadanie 19.2.6
Zadanie 19.2.7
Zadanie 19.2.8
Zadanie 19.2.9
Zadanie 19.2.10
Zadanie 19.2.11
Zadanie 19.2.12
Zadanie 19.2.13
Zadanie 19.2.14
Zadanie 19.2.15
Zadanie 19.2.16
Zadanie 19.2.17
Zadanie 19.1
Zadanie 19.2
Zadanie 19.3
Zadanie 19.4
Zadanie 19.5
Zadanie 19.6
Zadanie 19.7
Zadanie 19.8
Zadanie 19.9
Zadanie 19.10
Zadanie 19.11
Zadanie 19.12
Zadanie 19.13
Zadanie 19.14
Zadanie 19.15
Zadanie 19.16
Zadanie 1.1
Zadanie 1.2
Zadanie 1.3
Zadanie 1.4
Zadanie 2.1
Zadanie 2.2
Zadanie 2.3
Zadanie 2.4
Zadanie 2.5
Zadanie 3.1
Zadanie 3.2
Zadanie 3.3