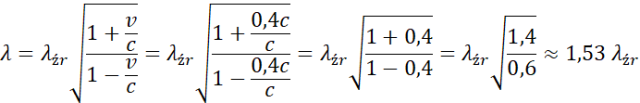
Przesunięcie ku czerwieni to różnica między długością fali wysyłanej ze źródła, a długością mierzoną na Ziemi. Do jej obliczenia zastosuj wzór przedstawiający efekt Dopplera w mechanice relatywistycznej dla oddalającego się ciała. Wstaw odpowiednie liczbowe i wykonaj obliczenia.