Zadanie

Dane są dwa układy inercjalne poruszające się względem siebie z prędkością . Zgodnie z transformacją Lorentza wykonano rysunek osi układu oraz wyskalowano jego osie. Podaj prędkość w każdym z układów odniesienia, z jaką trzeba się przemieszczać ruchem jednostajnym z A do B oraz z A do C.

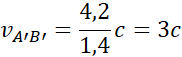
Rozwiązanie

Wyjaśnienie

Zadania z tego działu
Elementy fizyki relatywistycznej
271