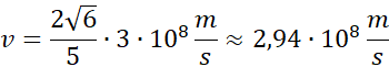
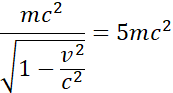
Określ prędkość cząstki promieniowania kosmicznego, której energia całkowita jest pięć razy większa od jej energii spoczynkowej.
Rozwiązanie
Wyjaśnienie
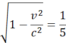
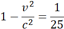
Zapisz zależność między energiami podaną w treści zadania. Następnie użyj wzorów na energię całkowitą i energię spoczynkową. Skróć powtarzające się wielkości i przekształć wzór. Na koniec wstaw dane liczbowe i wykonaj obliczenia.