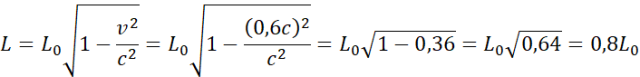
Oblicz długość statku kosmicznego, jaką wyznaczy pracownik ziemskiego laboratorium, jeżeli długość własna statku jest równa m.
Wykorzystaj wzór na skrócenie długości wynikający z transformacji Lorentza. Wstaw dane i wykonaj obliczenia.
Zadanie 19.1.1
Podpunkt a)
Podpunkt b)
Podpunkt c)
Podpunkt d)
Podpunkt e)
Podpunkt f)
Podpunkt g)
Zadanie 19.1.2
Zadanie 19.1.3
Zadanie 19.1.4
Zadanie 19.1.5
Zadanie 19.1.6
Zadanie 19.1.7
Zadanie 19.1.8
Zadanie 19.1.9
Zadanie 19.1.10
Zadanie 19.1.11
Zadanie 19.1.12
Zadanie 19.1.13
Zadanie 19.1.14
Zadanie 19.2.1
Zadanie 19.2.2
Zadanie 19.2.3
Zadanie 19.2.4
Zadanie 19.2.5
Zadanie 19.2.6
Zadanie 19.2.7
Zadanie 19.2.8
Zadanie 19.2.9
Zadanie 19.2.10
Zadanie 19.2.11
Zadanie 19.2.12
Zadanie 19.2.13
Zadanie 19.2.14
Zadanie 19.2.15
Zadanie 19.2.16
Zadanie 19.2.17
Zadanie 19.1
Zadanie 19.2
Zadanie 19.3
Zadanie 19.4
Zadanie 19.5
Zadanie 19.6
Zadanie 19.7
Zadanie 19.8
Zadanie 19.9
Zadanie 19.10
Zadanie 19.11
Zadanie 19.12
Zadanie 19.13
Zadanie 19.14
Zadanie 19.15
Zadanie 19.16
Zadanie 1.1
Zadanie 1.2
Zadanie 1.3
Zadanie 1.4
Zadanie 2.1
Zadanie 2.2
Zadanie 2.3
Zadanie 2.4
Zadanie 2.5
Zadanie 3.1
Zadanie 3.2
Zadanie 3.3