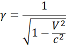
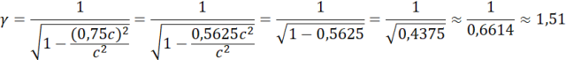
We wzorach relatywistycznych pojawia się współczynnik . Podaj jego wartość i na tej podstawie ustal, czy w opisanych sytuacjach należy uwzględnić efekty relatywistyczne.
Proton wiatru słonecznego porusza się z prędkością .
Rozwiązanie
– w opisanej sytuacji należy uwzględnić efekty relatywistyczne.
Wyjaśnienie
Zapisz wzór na współczynnik, a następnie wstaw wartości prędkości w formie niewiadomych i wykonaj obliczenia. Jeśli współczynnik ma wartość większą lub zdecydowanie większą niż 1 w opisanej sytuacji uwzględnia się efekty relatywistyczne.