Podaj współrzędne zdarzenia A w układzie i , wiedząc, że w dwuwymiarowej czasoprzestrzeni zaszło zdarzenie A. Masz dwa inercjalne układy odniesienia i .
Rozwiązanie
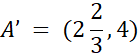
Dla
Dla :
Wyjaśnienie
Aby odczytać współrzędne punktu, narysuj linie pomocnicze równoległe do obu osi układów przechodzące przez punkt A i podaj wartość, w jakiej przecinają się one z drugą osią (w danym układzie).