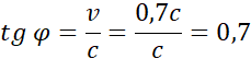
Transformacje Lorentza możesz użyć do graficznego określania współrzędnych zdarzenia. Na podstawie tej wiedzy podaj miarę kąta odchylenia osi do osi i kąt nachylenia osi do osi .
Rozwiązanie
Wyjaśnienie
Wykorzystaj wzór na tangens kąta odchylenia i wstaw dane z treści zadania. Następnie do obliczenia kąta użyj funkcji lub odczytaj wartość kąta z tabeli.