Prędkość V | ![]() | ![]() | ![]() | k |
0,2c | 0,020 | 1,0206 | 0,0206 | 3% |
0,4c | 0,080 | 1,0911 | 0,0911 | 13,875% |
0,6c | 0,180 | 1,2500 | 0,2500 | 38,89% |
0,8c | 0,320 | 1,6667 | 0,6667 | 108,34% |
0,9c | 0,405 | 2,2942 | 1,2942 | 219,56% |
c | 0,500 | γ→∞ | ![]() |
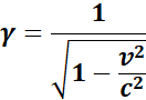
Zastosuj wzór przedstawiony w treści zadania. Wstaw dane liczbowe, wykonaj obliczenia, a wyniki zapisz w ostatniej kolumnie tabeli.