Zadanie

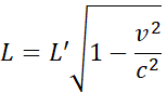
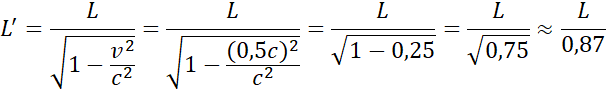
Droga, którą pokonała poruszająca się cząstka zmierzona przez obserwatora z Ziemi, wyniosła km. Określ, jaką drogę pokona ta cząstka w układzie własnym, jeżeli jej prędkość wynosi .

Rozwiązanie

Wyjaśnienie

Zadania z tego działu
Elementy fizyki relatywistycznej
271