Na wykresie zilustrowano zależność prędkości od czasu dla ruchu pewnego samochodu. Uzupełnij poniższe etapy obliczenia drogi przebytej przez ten samochód w ciągu 20 s ruchu.
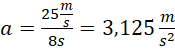
Z wykresu widać, że początkowo samochód poruszał się ruchem jednostajnie przyspieszonym – przez pierwsze 8 s ruchu samochód zwiększył prędkość od 0 do
Skoro znamy przyspieszenie i czas, obliczamy drogę przebytą przez samochód w czasie pierwszych 8 s ruchu, korzystając ze wzoru na drogę w ruchu jednostajnie przyspieszonym;
Z analizy wykresu wynika, że od 8 s do 20 s samochód poruszał się ruchem jednostajnym . W tym ruchu drogę obliczamy ze wzoru: s = v∙t. Zatem droga przebyta przez samochód przez ostatnie 12 s ruchu jest równa:
Linia pochyła na wykresie prędkości czasu opisuje ruch jednostajnie przyspieszony, natomiast prosta – ruch jednostajny.