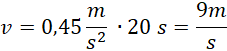
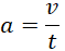
Wyznacz prędkość końcową.
Przekształcamy wzór na przyspieszenie i wyznaczamy prędkość.
Zadanie 1
Zadanie 2
Zadanie 3
Podpunkt a)
Podpunkt b)
Podpunkt c)
Podpunkt d)
Podpunkt e)
Zadanie 4
Zadanie 5
Zadanie 6
Zadanie 7