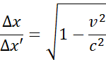
Z transformacji Lorentza:
Pręt porusza się poziomo, więc skraca się jedynie na tym kierunku. Korzystając z funkcji trygonometrycznych zapisz zależność między długościami a kątami nachylenia pręta. Zapisz wzór na skrócenie wynikający z transformacji Lorentza i przekształć go do zależności