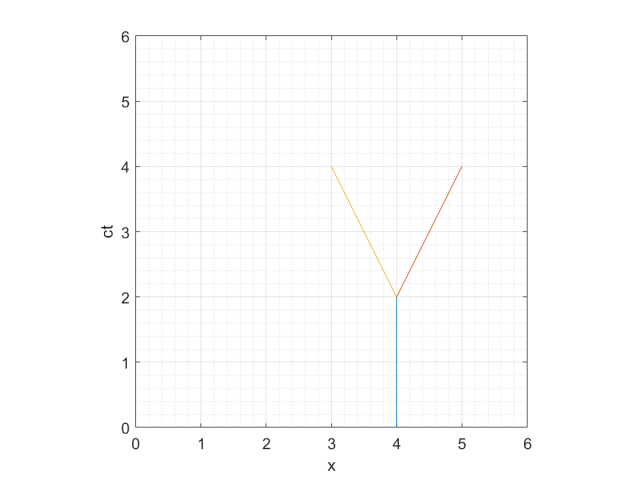
Narysuj trajektorię pozytonu i elektronu powstałego z kwantu , jeżeli współrzędne tego zdarzenia: i , prędkość elektronu , a pozytonu w dwuwymiarowej przestrzeni.
Rozwiązanie
Wyjaśnienie
Na początku istnieje nieruchomy kwant – wykres niebieski. Następnie powstaje elektron i pozyton. Oblicz zależność między przyrostem położenia , a przyrostem . Skorzystaj z otrzymanych zależności i narysuj odpowiednie wykresy, rozpoczynając w punkcie (4,2). Elektron – czerwony, pozyton – żółty.