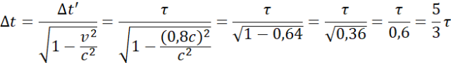
Średni czas życia cząstki w układzie własnym jest równy τ. Cząstka ma prędkość . Wiedząc to, określ czas zmierzony przez nieruchomego obserwatora:
A. 0,5τ
B. 0,6τ
C.
D.
Odp. C.
Zastosuj wzór na dylatację czasu i wstaw dane odczytane z treści zadania. Wykonaj obliczenia i zapisz wynik.
Zadanie 19.1.1
Podpunkt a)
Podpunkt b)
Podpunkt c)
Podpunkt d)
Podpunkt e)
Podpunkt f)
Podpunkt g)
Zadanie 19.1.2
Zadanie 19.1.3
Zadanie 19.1.4
Zadanie 19.1.5
Zadanie 19.1.6
Zadanie 19.1.7
Zadanie 19.1.8
Zadanie 19.1.9
Zadanie 19.1.10
Zadanie 19.1.11
Zadanie 19.1.12
Zadanie 19.1.13
Zadanie 19.1.14
Zadanie 19.2.1
Zadanie 19.2.2
Zadanie 19.2.3
Zadanie 19.2.4
Zadanie 19.2.5
Zadanie 19.2.6
Zadanie 19.2.7
Zadanie 19.2.8
Zadanie 19.2.9
Zadanie 19.2.10
Zadanie 19.2.11
Zadanie 19.2.12
Zadanie 19.2.13
Zadanie 19.2.14
Zadanie 19.2.15
Zadanie 19.2.16
Zadanie 19.2.17
Zadanie 19.1
Zadanie 19.2
Zadanie 19.3
Zadanie 19.4
Zadanie 19.5
Zadanie 19.6
Zadanie 19.7
Zadanie 19.8
Zadanie 19.9
Zadanie 19.10
Zadanie 19.11
Zadanie 19.12
Zadanie 19.13
Zadanie 19.14
Zadanie 19.15
Zadanie 19.16
Zadanie 1.1
Zadanie 1.2
Zadanie 1.3
Zadanie 1.4
Zadanie 2.1
Zadanie 2.2
Zadanie 2.3
Zadanie 2.4
Zadanie 2.5
Zadanie 3.1
Zadanie 3.2
Zadanie 3.3