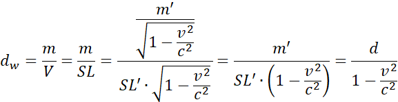
Gęstość własna:
Gęstość obserwowana przy ruchu pręta:
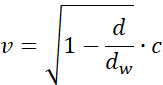
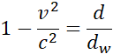
Zapisz wzory na gęstość pręta wyznaczaną dla nieruchomego i ruchomego pręta. Zastosuj zależności wynikające z transformacji Lorentza do obliczenia wartości masy i długości. Zestaw ze sobą oba wzory i przekształć powstałą zależność do wzoru na prędkość. Na koniec wstaw dane liczbowe i wykonaj obliczenia.