Transformacja Galileusza:
Dla przestrzeni dwuwymiarowych
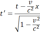
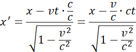
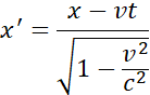
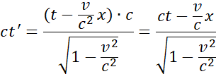
Transformacja Lorentza:
Dla przestrzeni dwuwymiarowych
Aby przekształcić transformacje na współrzędne czasoprzestrzenne dla czasoprzestrzeni dwuwymiarowej, musisz zamienić współrzędną czasową