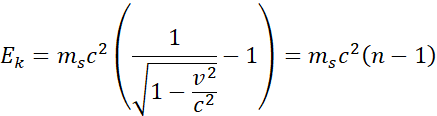
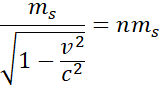
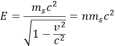
Zapisz zależność między masą względną a masą spoczynkową odczytaną z treści zadania. Znajdź wartość nieznanych parametrów za pomocą współczynników. Zastosuj wzór na energię kinetyczną i całkowitą. Zastąp nieznane wartości znanymi zależnościami między parametrami.